리스크 컨설턴트 성장기
리스크 컨설턴트 성장기
분류 전체보기
(157)
About.
(1)
Risk Management
(1)
Credit Risk
(1)
Data Science
(46)
python
(41)
R
(2)
SQL
(2)
SAS
(0)
STAT & MATH
(3)
calculus
(3)
Jay's Project
(19)
wanted 채용 공고 분석
(8)
포켓몬 소드&실드 리뷰 분석
(6)
교보문고 책 추천시스템 구현
(5)
Algorithm
(0)
Archive
(8)
TIL
(42)
Code Cloud
(34)
python
(34)
R
(0)
Trouble Shooting
(3)
일상
(0)
mode_edit_outline
글작성
settings
환경설정
홈
태그
방명록
STAT & MATH/calculus
・2022. 1. 16.
fullscreen
넓게보기
fullscreen_exit
원래대로
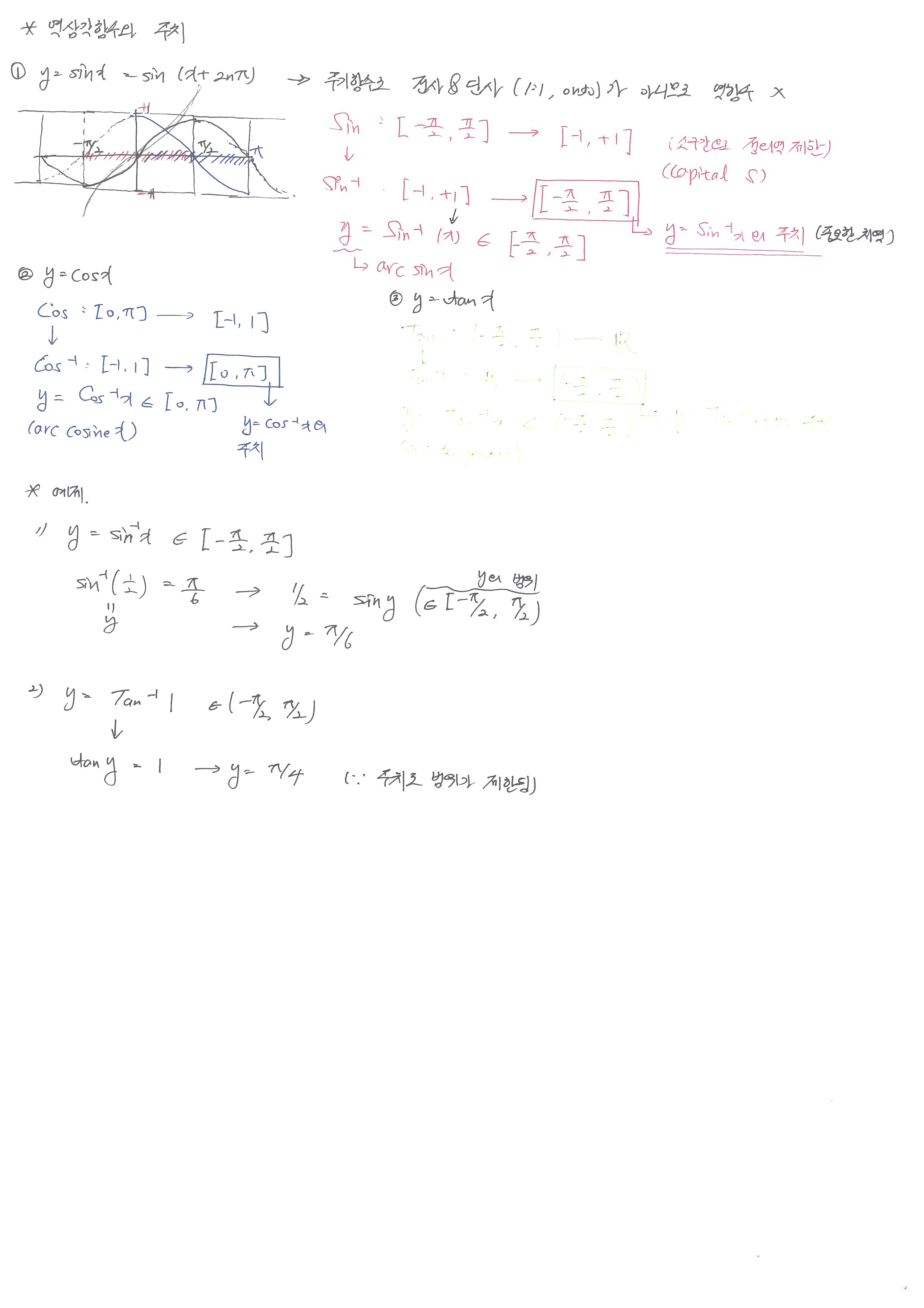
[calculus] 2차시 지수함수, 로그함수, 역삼각함수
공유하기
게시글 관리
리스크 컨설턴트 성장기
'
STAT & MATH
>
calculus
' 카테고리의 다른 글
[calculus] 3차시 위치벡터, dot product
(0)
2022.01.16
[calculus] 1차시 집합과 함수
(0)
2022.01.16
STAT & MATH/calculus 관련 글
더 보기
[calculus] 3차시 위치벡터, dot product
2022.01.16
[calculus] 1차시 집합과 함수
2022.01.16
댓글
티스토리툴바